校园新闻

好风凭借力,奋斗正当时——高一新生入学教育侧记

时间:2022-08-24 09:40:02 发布人:聚仁高级中学 人气:76

图片

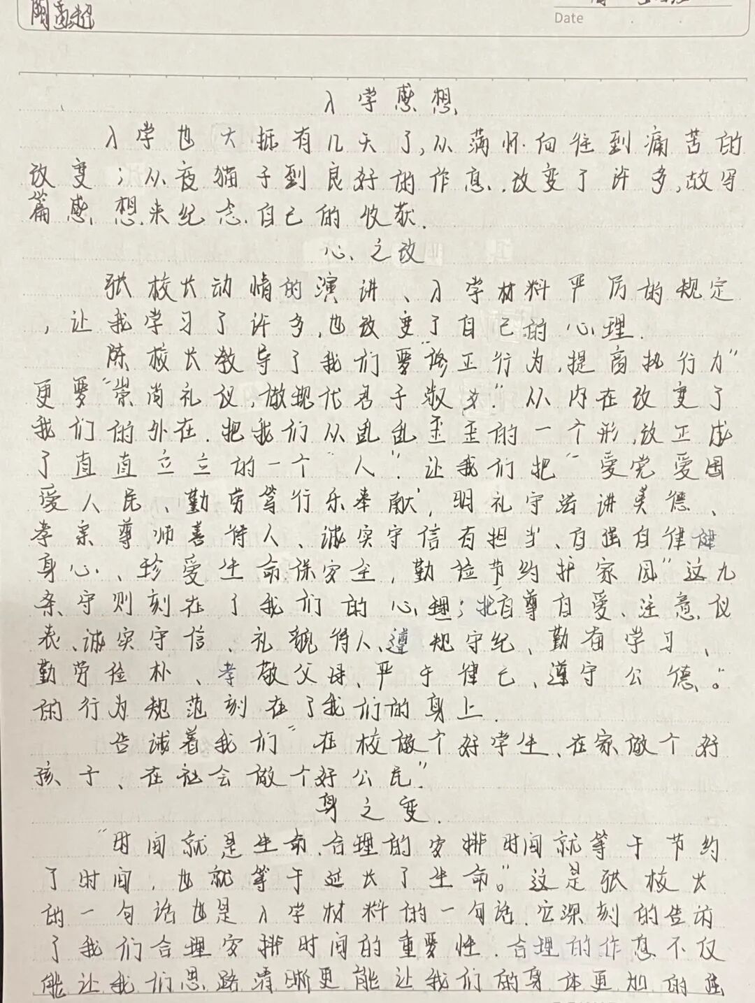
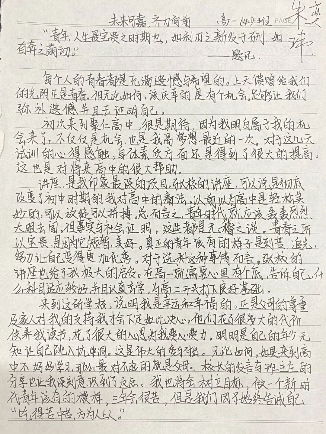
       高一学子们顺利入学,面对新的生活,新的班级,新的同学,新的老师,他们会有怎样的想法呢?让我们一起来看看高一新同学的入学感想吧!


       养成良好的学习习惯是走向成功的关键一步,高一(1)班的同学们通过入学教育深刻认识到了习惯的重要性。

图片
图片

- 英姿飒爽,豪情万丈

图片

一班学子,旗帜高扬 -



       高一(2)班的同学们对未来的高中生活流露出了些许的不安与紧张,但更多的则是期待与憧憬,对老师充满着期待,对自己的未来满溢着憧憬。

图片


图片

自强不息,意志如钢

图片

看我二班,斗志昂扬 -



       高一(3)班的学子极快地掌握了张校长提出的学习方法,认识到科学的复习是提高学习效率的法门之一。每天的晨跑、晨练也让同学们一洗暑期的懒散与懈怠。老师们期待着你们的改变!

图片
图片
图片
图片

- 奋勇当先,步伐矫健

图片

三班健儿,魅力无限 -



       高一(4)班的学子们通过入学教育深知自律的重要性,同时也深知父母与老师的不易。他们立志在三年时光里要争分夺秒,踏实做人,深思勤学,创造奇迹!老师们坚信,满怀感恩之心的你们一定会梦想成真。

图片
图片

- 好学上进,积极求索

图片

看我四班,绳锯木断 -



       破茧成蝶是他们的心中所愿,高一(5)班的学子们被入学以来同学们认真预习、抢先学习的氛围感染,纷纷暗下决心,用行动提升自己!“愿天光大亮,你我终有所属”是他们最朴素的愿望。

图片
图片
图片
图片

- 聚沙成塔,集腋成裘

图片

五班学子,赛场加油 -



       良好的开端是成功的一半。从此刻起,高一(6)班的学子们便已投入学习,投入高中生活,投入实现梦想的新征程。“好风凭借力,送我上青云”,他们已在奔赴梦想的途中……

图片


图片


- 扎根现实,放飞梦想

图片

看我六班,驰骋赛场 -



图片

图片

       短暂的入学教育让同学们对高中生活有了深刻的认识,对学习方式有了新的看法和改变,对自己的人生充满了期待……我们有理由相信,此刻的铮铮誓言必将在三年后变成现实!


- END -


图片


上一篇:千呼万唤,终于等到你!你好,聚仁高中的少年!

下一篇:聚仁高级中学2022级高一新生军训汇报表演及表彰大会圆满结束